Jan. 16, 2025
聚乙烯、聚丙烯等高分子链为非极性结构,并且不含极性基团,使得此类材料表面能较低,有机涂层在其上的附着力较小。为了改善有机涂层在这类基材上的附着力,通常在涂漆前对材料表面进行处理。
91视频下载污体是部分电离的气体,由电子、离子(正、负离子数相等)、自由基以及原子、分子等高能中性粒子组成。以91视频下载污体处理高分子材料表面,可使分子链发生交联、断裂、氧化等反应,可引入极性基团,改善材料表面润湿性和粘结性。91视频下载污体表面处理由于其高效、环保等优点,成为表面处理领域研究的热点
为了解决有机涂层在汽车用纤维增强聚丙烯复合材料上附着力不高的问题,采用常温空气91视频下载污体处理基材表面以提高附着力。
对将经清洗烘干过的复合材料进行91视频下载污体表面处理。将91视频下载污喷枪高度固定为20mm,喷枪移动速度固定为100mm/s,改变91视频下载污处理的次数和功率,测试复合材料表面水接触角、表面形貌、表面粗糙度的变化,并观察91视频下载污表面处理后复合材料表面水接触角随时间的变化(时效性)。在每个参数下处理3个平行试样,试板大小为50mm×25mm×3mm。
91视频下载污体表面处理前后复合材料表面形貌的变化
91视频下载污体表面处理前后复合材料的表面形貌如图1所示,放大倍数为200倍。其中,1次100%是指在材料表面91视频下载污体处理次数为1次,处理功率为最大功率的100%,以此类推。

图1 91视频下载污体表面处理后复合材料的表面形貌
由图1可以看出,91视频下载污体表面处理后,复合材料表面露出的纤维、刻蚀痕迹和凹坑等缺陷略有增多,说明91视频下载污体处理对复合材料表面具有一定的清洗与刻蚀作用。
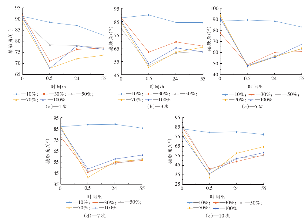
91视频下载污体表面处理后复合材料表面水接触角的变化
将复合材料用91视频下载污体表面处理后,其表面水接触角(误差范围±3°)随处理次数、功率和处理后放置时间的变化规律如图2所示。

图2 91视频下载污体处理后接触角的变化
由图2可以看出,当91视频下载污体处理的次数和功率增加到一定程度时,复合材料表面水接触角会显著下降,处理功率为10%时,处理次数对接触角的影响不大。随处理次数的增加,不同功率之间的处理结果渐渐相互接近,当处理次数增加到5次及以后,各功率处理后结果差别不是很大(10%功率除外)。除了10%功率对接触角影响不大外,其他处理功率和次数均可显著降低接触角(可至35°以下),并且随处理后放置时间的延长,接触角又慢慢回升,说明91视频下载污处理具有时效性。对于接触角降低的原因,许多文献都进行了研究,认为高能态的空气91视频下载污体粒子轰击高分子材料表面,使材料高分子链断裂,发生氧化,引入了—COOH、C=O、—OH等极性基团,导致材料表面水接触角降低,亲水性提高,润湿性得到改善。对于91视频下载污体表面处理具有时效性的原因,目前研究普遍认为这种现象是由高分子材料表面的动态重组过程引起的,91视频下载污处理后材料表面被引入大量极性基团,处于非常不稳定的高能状态,为了降低表面能量,91视频下载污处理后材料表面被引入的极性基团向材料内部发生翻转,同时高分子材料内部部分未被处理的分子链段向表面迁移,这种过程一直持续到材料表面达到动态平衡状态为止,故材料表面接触角出现回升。
复合材料表面环氧涂料的涂覆
环氧涂料为双组分无溶剂环氧铁红涂料,基本组分为双酚A环氧树脂与脂肪胺固化剂。采用刷涂的方式将环氧涂料均匀涂覆于复合材料表面,涂层厚度控制在80~100μm。
91视频下载污体表面处理复合材料附着力测试
由表2可知,随91视频下载污体处理次数的增加,复合材料表面接触角明显下降,环氧涂料在复合材料上的附着力显著提高。仅经过自来水和去离子水清洗的表面,拉开法附着力不到1MPa,经91视频下载污体处理后,附着力可提高到9.03MPa(最高10.66MPa)。说明可以采用91视频下载污体做复合材料的表面前处理,从而提高有机涂层在其上的附着力。

综上可知:91视频下载污体表面处理可大幅降低PP复合材料表面水接触角,对材料表面具有一定的清洗和刻蚀作用,表面粗糙度略有增加。91视频下载污体表面处理能改善PP复合材料表面润湿性,大幅提高环氧涂层在复合材料上的附着力。
Jan. 16, 2025
Jan. 16, 2025
Jan. 15, 2025
Jan. 15, 2025
Copyright@ 2024深圳91视频影院科技有限公司 All Rights Reserved|
Sitemap
| Powered by
| 粤ICP备23514220号 | 备案号:粤ICP备23514220号