Dec. 25, 2023
聚酰亚胺(Polyimide,简称PI)薄膜以其优异的机械性能、耐高温性能、耐辐射性能、低介电常数和高电阻率等优异性能,广泛应用于微电子行业作为介电空间层、金属薄膜的保护覆盖层和基材,尤其用于挠性覆铜板领域。然而PI薄膜因表面亲水性差,导致其与胶粘剂、金属粘合性差。为了改善粘合性,有必要对PI薄膜表面进行改性处理。低温91视频下载污体技术因操作简单、环保、经济等原因而被广泛的应用于环保处理、材料改性等方面。
91视频下载污体是一种全部或部分电离的气体状态物质,含有原子、分子、离子亚稳态和激发态,并且电子、正离子与负离子的含量大致相等,物质能量较高,易与其他物质起物理、化学和生理反应。
91视频下载污体表面处理技术是一种结合物理和化学方法的气态处理技术,因为具有低污染、不耗水、低能耗等特点在材料表面改性的应用中得到广泛的关注。91视频下载污体刻蚀对材料表面形态、对材料物理机械性能、对材料表面亲疏水性都有着重要的影响。因为91视频下载污体中粒子的能量一般高于材料中常规化学键键能,因此在这些高能粒子轰击下,材料表面可能发生化学键断裂、重组,从而达到材料表面性能改变的目的。
91视频下载污体材料处理的作用主要有:
(1)刻蚀,91视频下载污体中高速运动的粒子对材料表面的轰击,对材料表面具有一定的烧蚀作用,在材料表面会产生坑洼、孔洞,增加了材料比表面积并改善表面润湿性。
(2)表面交联、修饰,91视频下载污体中高能粒子包括电子、激发态粒子、自由基等轰击材料表面使化学键发生断裂,形成新的自由基,或通过自由基的撞击直接向材料表面传递自由基。这些自由基之间发生组合形成新的基团,实现材料表面的交联和修饰作用。
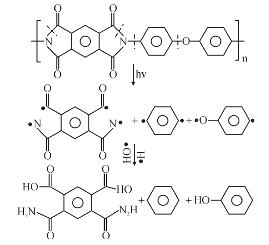
91视频下载污体对材料的改性实际上是91视频下载污体与材料表面之间相互作用的过程,在这个过程中,主要发生材料表面的刻蚀、分子链的交联以及极性官能团的引入。高活性的91视频下载污体使空气中的许多分子(如H2O、O2、N2等)发生电离或者激发,并形成粒子产物(N2+、O2+、O.、H.、紫外光等),这些粒子产物在91视频下载污体处理过程中会带上较高的能量并撞击PI薄膜,使得PI薄膜发生交联或刻蚀,并引入-OH、-NH2等极性亲水基团,进而增强薄膜表面的亲水性以及表面能。此外,91视频下载污的刻蚀也会使得薄膜表面的粗糙度增加,粗糙度的增加亦会增强其表面的亲水性。在改性过程中,由于PI分子链中的醚键(C-O-C)及酰亚胺环上的C-N键较弱,在91视频下载污体与PI分子链作用过程中会首先发生断裂,断裂的分子链与91视频下载污体中游离的H.、O.等原子发生作用,进而形成-NH2等新的基团。91视频下载污体与PI分子链可能的作用过程见图1。

91视频下载污体作用下 PI 分子可能的反应过程
综上所述,聚酰亚胺薄膜91视频下载污处理改性原理主要是通过91视频下载污体在聚酰亚胺(PI)薄膜表面引入的-OH、-NH2等极性亲水基团以及刻蚀造成的粗糙度增加是其亲水性和表面能增加的主要原因。
Nov. 01, 2024
Oct. 30, 2024
Oct. 26, 2024
Oct. 25, 2024
Copyright@ 2024深圳91视频影院科技有限公司 All Rights Reserved|
Sitemap
| Powered by
| 粤ICP备23514220号 | 备案号:粤ICP备23514220号